

英语原文共 4 页,剩余内容已隐藏,支付完成后下载完整资料
基于B/S设计的企业人事管理系统
Xue Zhang
Information Engineering Institute
Jilin Engineering Normal University
Changchun, China
摘要:B/S结构是指浏览器/服务器结构模型。这篇文章在这里主要讨论B/S结构知识管理体系的特点、B/S结构的实践设计思想以及人事管理系统的实施原则。企业人事管理系统解决了员工地理位置上的分散以及员工之间通信不便等问题。与此同时,企业人事管理系统可以帮助各级领导规范和高效地管理工作。
关键词:B/S结构,人事管理,系统介绍
1 介绍
人事管理是企业管理的重要内容,它在整个企业管理中有重要地位。随着社会的进步以及计算机技术的快速发展,信息技术已经在各种领域得到广泛应用。企业信息化的发展和人事管理系统已经成为企业管理不可或缺的组成部分,因此使用计算机来实现企业人事管理是必要的。
由于网络技术的发展,企业软件开发进入B/S架构,即浏览器/服务器阶段。在一些发达国家,采用B / S体系结构软件的比例达到了17%。B/S模式具有分布的特点,可以随时进行查询、浏览等操作。B/S结构只要开发简单和方便的业务,就可以增加web服务器页面的功能。B/S结构的系统简单、方便、易于维护,只需要更改页面,所有用户都可以实现同步更新。B/S结构开发简单,共享性强。因此采用B/S结构技术研究企业发展和开发人事管理的应用是我们的一个重要课题。
B/S结构和C/S结构
2.1 C/S结构
C/S结构被称为客户端和服务器结构。它是一个软件体系结构,通过C/S可以充分利用客户端和服务器两端硬件的优势。C/S结构的基本原理是采用“分配功能”的原则把计算机的应用任务分工成更多的子任务,并且这些子任务通过按劳分配由众多计算机执行。客户端完成数据处理、数据演示和用户界面的功能,服务器完成数据库管理系统的核心功能。客户请求服务、服务器提供服务的处理模式是一种计算机应用模式。在传统的应用中,MIS系统主要用于企业内部信息管理,以完成必要的业务流程。MIS系统主要采用分布式计算环境中最流行的C/S计算模型。但是C/S结构存在于一个大的网络中,可扩展性、可维护性和安全性都存在缺点。
2.2 B/S结构
B/S结构,即浏览器和服务器结构,在基于网络的数据库开发模式中广泛使用。随着互联网技术的兴起,从传统的C/S(客户端/服务器)模式开始向二层结构的新型网络结构B/S模式转变,B/S模式的本质是三层结构的C/S模式。在B/S结构下,用户通过WWW浏览器连接服务器,几乎不要在前端(浏览器)写任何事物逻辑。B/S模式主要的事物逻辑在服务器上实现,形成所谓的三层结构。因此B/S模式大大降低了客户端的计算机负载,降低系统升级和维护的成本和工作量,降低了用户的总体成本。如图1:
|
|
|
图1 B/S结构的三层图 |
3 B/S技术的人事管理系统的发展过程
3.1 可行性研究
世界上有一种广泛使用的定义科研项目是否可行的方法。它通过各种有效的方法,比如工程项目分析来判断该项目是否可行。工程项目分析从技术、经济和财务评价三个方面来为决策者是否选择投资项目提供依据。项目可行性研究的定义是找出可能的、应该的,也就是说在投入大量资金之前研究项目成功的可能性,以此来减少风险。以下从三个方面来分析该系统的可能性。
3.1.1 经济可行性
由于我国互联网企业蓬勃发展,目前,国内各种管理系统都在不断升级。企业也将各种信息聚焦现代计算机网络。为了实现高效快捷的信息服务,必须开发出一个容易管理、维护成本低、界面友好并且安全可靠的管理系统。所以企业必须开发基于B/S结构的、简单的、灵活的并且经济上可行的人事管理系统来迎合公司发展前景。
首先,为了替代人工操作,这个人事管理系统的操作必须是多种多样的;
第二,这个系统的操作可以节省很多资源;
第三,本系统的操作可以大大提高企业的工作效率;
第四,这个系统可以使敏感文件更加安全等等。
3.1.2 技术可行性
本系统主要采用Myeclipse开发工具和Oracle数据库来设计。Myeclipse开发工具非常强大,同时,Oracle数据库可以存储数据。本系统用大容量的Java作为主要开发语言,使用B/S架构来设计和实施。
3.1.3 操作可行性
本系统在操作系统平台完全独立操作,不与操作系统的其他任务冲突。而且本系统设计清晰,具有良好的用户界面,操作简单,新用户使用方便,所以系统操作可行。
3.2 需求分析
需求分析是数据库设计过程中最重要以及具有决定性的一步。只有通过软件需求分析,描述软件功能和性能的总体概念来形成软件需求规范,从而打下软件开发的基础。
3.2.1 系统业务流程设计
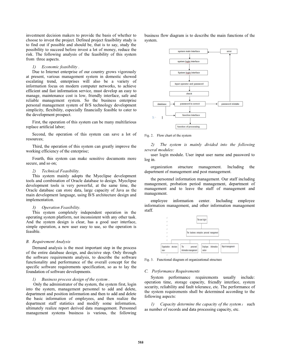
只有这个系统的管理员才能操作这个系统。管理员先登录进去系统,然后管理人员可以增加和删除部门、职位的信息。接着管理员可以添加和删除员工的基本信息。然后管理员可以统计每个部门的人数,并且可以修改部门、职位和员工的信息。最终系统导出报表实现数据管理。人事管理系统业务种类繁多,以下的业务流程图描述该系统的主要功能。
|
图2 系统流程图 |
3.2.2 本系统主要分为以下几个模块
用户登陆模块:用户输入用户名和密码登陆。
组织结构管理:包括部门和职位管理。
员工信息管理:员工信息管理包括试用期员工管理,正式员工的管理和离职员工的管理。
员工信息中心:包括员工信息管理和其他工作人员的信息管理。
|
|
|
图3 组织结构图 |
3.3 性能要求
系统的性能指标通常包括:操作时间,存储容量,友好的界面,系统具有安全性、可靠性和容错性等等。系统的性能要求应根据以下几个方面:
3.3.1 容量决定了系统的性能:
比如系统的访问量和数据处理能力等体现了系统的容量。
3.3.2 精度要求:
确定系统的精度的指标有:系统数据的精度、数值计算精度和数据传输的精度。
3.3.3 时间特征要求:
确定系统时间的特性,如系统的处理时间,响应时间、系统在高负载下允许的偏差以及系统在J帧环境下的功能影响。
3.3.4 适应性要求:
必须具体反映系统环境变化与系统适应性参数之间的关系。比如当需求变化时,系统适应的能力如何。在这里必须指出,为了适应需求的变化,软件的设计和开发流程都显得十分重要。
3.3.5 界面友好:
系统的交互界面必须符合智能人机交互的特点,这样可以方便地培训用户怎么操作系统。
3.3.6 系统可靠性:
为了提高系统的可靠性,系统必须采用模块化和结构化设计来提高系统的容错性,并保证系统不会因为人为错误或者其他原因崩溃。如果系统被要求使用的时间很长,必须考虑双机系统等措施比如磁盘阵列方法。
3.4 非功能性需求分析
3.4.1 运行稳定性:
要保证系统安装的平台可以长时间稳定地运行,而不会因为个人的错误或操作系统错误导致系统崩溃。
3.4.2 数据可靠:
系统在通信时出现互联网或者网络故障,其他数据不会丢失。
3.4.3 可扩展性:
系统可以在不同硬件配置的电脑上运行。
3.5 数据库设计
3.5.1 数据库需求分析:
数据库结构设计阶段主要是收集基本的数据和设计好数据处理流程。数据库设计者需要对用户业务活动和数据使用进行调查与分析,找出用于商务活动以及用户沟通的数据的类型、范围和数量。确定数据库系统用户的使用需求和各种约束条件等。形成用户需求规格说明书,为进一步设计打下基础。
3.5.2 数据库概念结构设计:
概念结构独立于信息结构的实际数据模型,结构必须转化为数据库应用程序设计的逻辑结构。也就是将概念结构转化为由实际数据模型支持的Oracle数据库系统。有许多种概念模型,最常用的是实体关系模型,实体关系模型采用E-R图来描述一个概念模型。是指直接从E-R模型实体中抽象得到现实世界中的实体以及实体之间的关系,是指一种真实世界的从抽象,它的主体属性是实体、关系和属性。
3.5.3 逻辑结构设计:
逻辑结构设计任务是概念结构设计阶段完成的。逻辑结构设计是将基本E-R图转化成具体的机器语言并且选择与数据模型的逻辑结构(包括数据库模式和模式)一致的DBMS产品。这些模式在功能,完整性和一致性约束和数据库的可扩展性应该满足用户需求。
根据上面的例子来设计规划实体:
1、部门信息实体
2、职位信息实体
3、出发信息实体
4、试用期信息实体
5、员工基本信息实体
6、调制部门信息实体
7、撤回信息实体
8、信息实体
3.6 软件测试
软件测试是软件开发过程中的重要组成部分。软件测试是用来确认当前程序的质量或者性能是否符合发展,软件测试可以对软件的开发提出一些要求。软件测试在软件投入运行前,对软件需求分析、设计规范和编码进行最终审查,软件测试是软件质量保证的关键一步。软件测试是发现错误以及执行的过程。软件测试的主要步骤有单元测试、集成测试和验收测试。
1、单元测试也称为模块测试。单元测试放在编码阶段,通常是一个优秀的程序员写完一个模块后,总是自己进行模块测试。单元测试检查当前模块能否实现说明书中指定的功能、详细设计模块以及算法。
2、集成测试,集成测试也被称为组装测试,它由模块组装程序形成测试,主要检查各模块的接口之间的通讯是否正常。集成测试主要在软件测试阶段发现错误,集成测试通常采用黑盒测试的方法。
3、验收测试。验收测试的任务是检查软件的功能、性能等特性是否符合用户的需求,验收测试是一个作为测试依据的规范,验收测试通常采用黑盒测试的方法。
参考文献
[1] Abdellatif, T. and F. Boyer. A node allocation system for deploying JavaEE systems on Grids. 2009. Hammemet, Tunisia.
[2] Bharti, A.K. and S.K. Dwivedi, E-Governance in Public Transportation: U.P.S.R.T.C.——A Case Study. 2011: Kathmandu, Nepal. p. 7-12.
[3] Meyer, B.. NET is coming [Microsoft Web services platform]. Computer, 2001. 34(8): p. 92--97.
[4] Changchun, Z.Z.H.Q., Simulation of 3-C Seismic Records In 2-D TIM. 1991: China. p. 489-493
[5] Jiansen, Y., et al., Suspension Kamp;C Characteristics and the Effect on Vehicle Steering. 2010:China p. 408-411.
剩余内容已隐藏,支付完成后下载完整资料
资料编号:[25616],资料为PDF文档或Word文档,PDF文档可免费转换为Word
您可能感兴趣的文章
- 饮用水微生物群:一个全面的时空研究,以监测巴黎供水系统的水质外文翻译资料
- 步进电机控制和摩擦模型对复杂机械系统精确定位的影响外文翻译资料
- 具有温湿度控制的开式阴极PEM燃料电池性能的提升外文翻译资料
- 警报定时系统对驾驶员行为的影响:调查驾驶员信任的差异以及根据警报定时对警报的响应外文翻译资料
- 门禁系统的零知识认证解决方案外文翻译资料
- 车辆废气及室外环境中悬浮微粒中有机磷的含量—-个案研究外文翻译资料
- ZigBee协议对城市风力涡轮机的无线监控: 支持应用软件和传感器模块外文翻译资料
- ZigBee系统在医疗保健中提供位置信息和传感器数据传输的方案外文翻译资料
- 基于PLC的模糊控制器在污水处理系统中的应用外文翻译资料
- 光伏并联最大功率点跟踪系统独立应用程序外文翻译资料
